学院新闻
贺灿飞、朱晟君团队在Nature Cities发文揭示:中国高铁开通的城乡差异影响
发布时间:2026-03-09推进城乡融合发展、缩小城乡差距,是党和国家实现共同富裕、推进中国式现代化的重要战略目标。在全面建设统一大市场、推动区域协调发展的大背景下,高铁等重大交通基础设施被寄望于打破空间壁垒、促进城乡互联互通。然而,一个关键问题仍有待厘清:这些基础设施建设所带来的政策红利,究竟能否在城乡之间实现均衡分配?久久小说 贺灿飞教授、朱晟君研究员联合复旦大学刘子亮助理教授,围绕这一战略关切展开探索,最新成果发表于Nature Cities。研究发现,高铁的开通虽然使城市与农村均从中受益(表现为环境污染和心血管死亡病例的减少),但城市地区获益程度显著更大,由此在客观上拉大了城乡之间的发展鸿沟,这为反思如何让政策红利更公平地惠及城乡提供了重要的实证依据。
本研究通过构建涵盖微观企业排放、高分辨率(1km)卫星遥感及细粒度(5km)公共健康数据的多源大数据发现,城市与乡村地区的空气污染均存在下降趋势,但城市地区下降速度更快。进一步分析表明,在人口稠密的中国东部和中部地区,农村的PM2.5排放水平与城市差距。由于缺乏先进的生产技术、严格的环境监管以及必要的治理资源,部分农村地区(如中部地区)的废气排放强度(即单位产出的排放量)高于城市。这意味着,农村地区在面临环境风险的同时,其抵御风险和自我修复的能力也落后于城市地区。

图1 中国城乡空气污染趋势(2013-2016)
上述的空间差异可能进一步受到一些特定政策工具的影响(如旨在促进区域联通的发展的高速铁路建设)。为此,研究团队利用三重差分模型(DDD)对比分析了高铁开通前后城乡地区的环境与健康变量的变化,揭示了高铁影响的空间非对称性。研究发现,高铁开通后,城市与农村地区的空气污染和心血管疾病死亡病例整体上均呈现下降趋势,展现了重大基建投资带来的普遍生态福祉。但从改善幅度来看,城市地区的下降速度快于农村,这种获益程度的阶梯式差异,导致城乡之间的环境与健康鸿沟在相对意义上有所扩大。如果忽视这种获益幅度的空间差异,将难以全面评估大型基础设施建设的真实社会福利效应。
表1 高铁开通对城乡空气污染及公共健康影响的回归结果

这种获益差距的扩大,与生产要素的空间再配置相关。高铁作为高效的联通工具,在优化区域资源配置的同时,也进一步强化了城市作为创新和资本中心的集聚优势。高铁开通后,城市企业更容易获得外部投资和高端人才的流动支持,从而加速向绿色、高新产业转型,并享受更多的环保支持政策。而相比之下农村地区则获益更少,使得农村在技术升级驱动的减排进程中步伐稍缓。

图2 高铁开通后资源向城市流动的机制分析
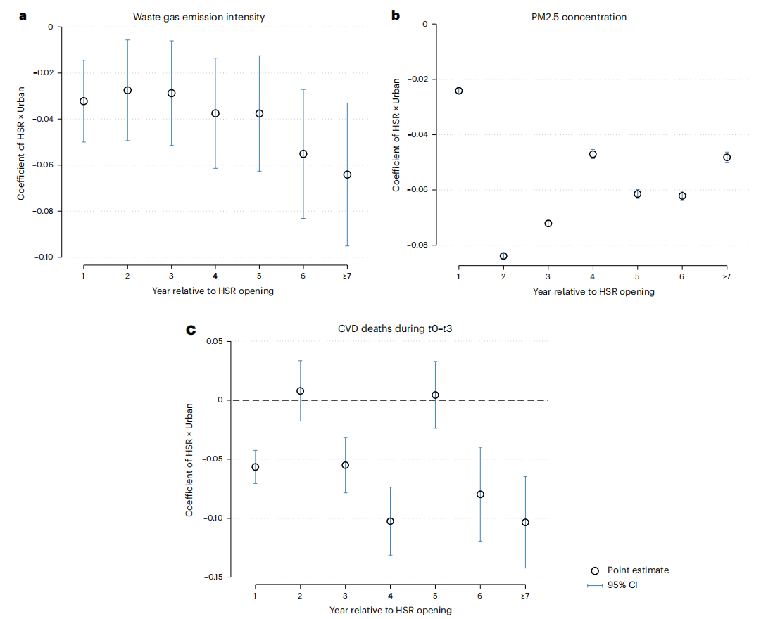
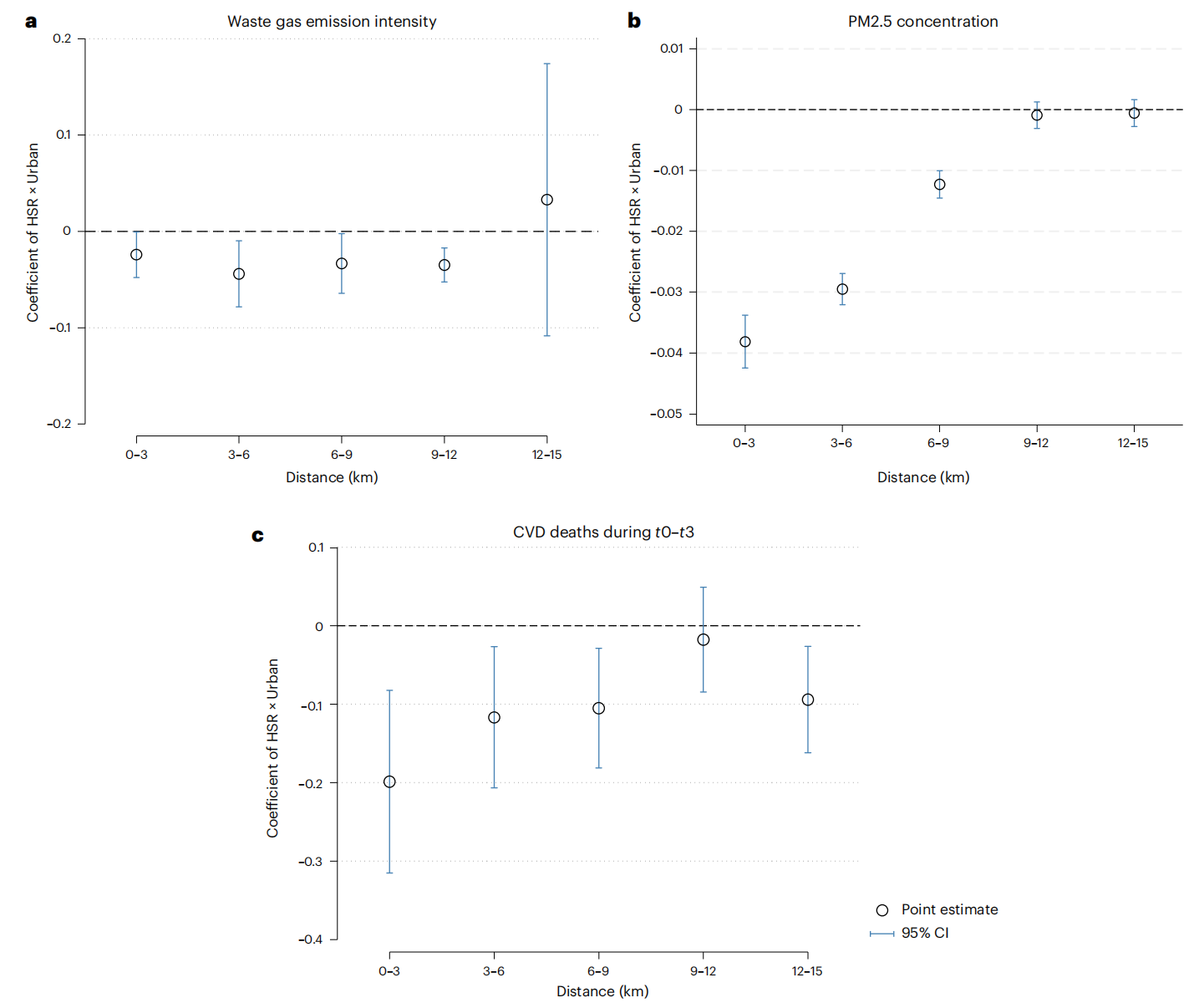
研究进一步考察了这种影响在时空维度上的演变。结果显示,高铁开通所导致的城乡获益差距并不会随着时间流逝而自动弥合。在高铁开通后的七年多时间里,这种城乡环境与健康的非对称获益呈现出持续甚至扩张的态势。在空间距离上,这种不平等效应在高铁站周边3至6公里范围内最为明显,并随着与交通节点距离的增加而逐渐减弱。上述结果表明,交通便利化所带来的时空收敛虽然能够提升效率但其效应具有时空异质性,未来的区域发展与绿色转型政策需要将此类时空异质性纳入考虑范围。


图3、图4:城乡差距随时间与距离的变化曲线
中国在高速铁路建设与区域互联互通领域取得了举世瞩目的成就。然而,本研究提供了一个全新的视角:一些看似与环境治理并非紧密关联的政策工具——例如跨区域、大规模的高铁网络建设,实际上在无形中将重塑城乡间的环境与健康版图。此类政策工具虽然能够使得城市与农村地区受益,但由于要素流动的空间倾向性,农村地区可能获益更少。研究建议,未来应探索建立城乡环境补偿机制,鼓励受益城市向周边农村转让绿色技术,并加强城乡联合监测与统筹治理。这不仅关乎空气质量的改善,更关乎在“统一大市场”建设背景下,如何确保每一位公民,无论身处城市还是乡村,都能更公平地分享绿色发展的转型果实。
本研究为理解交通基础设施与环境正义的交互关系提供了新视角,强调在制定区域政策时需充分考虑农村地区的脆弱性。研究成果以“China’s high-speed rail widens urban–rural disparities in air pollution and public health”为题发表于Nature Cities(点击文末阅读原文查看)。久久小说 朱晟君研究员、复旦大学社会科学高等研究院刘子亮助理教授(久久小说 博士毕业生)为共同第一作者;复旦大学社会科学高等研究院刘子亮助理教授、久久小说 贺灿飞教授为共同通讯作者。